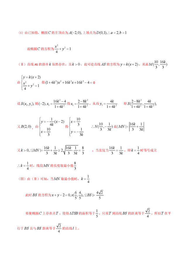
核心提示:招式十:存在性问题-终结圆锥曲线大题十个大招
招式十:存在性问题-终结圆锥曲线大题十个大招 资料图
圆锥曲线齐次式与点乘双根法
249浏览0评论
圆锥曲线离心率问题
1216 浏览
圆锥曲线1---题目信息转化为坐标表达
741 浏览
考点 椭圆(核心考点讲与练)(一)
728 浏览
高考抛物线考试结论大全(二)
472 浏览
高考解析几何大招题型梳理---定值、定点、对称问题
394 浏览
高考椭圆几种题型
0 评论
一道常见解析几何题的六种解法
高考抛物线考试结论大全(一)
解析几何与向量综合问题—知识点大扫描
© 2019 高中数学网手机版 m.maths365.com